Shortest Distance After Road Addition Queries I
tags: JavaScript
category: LeetCode
description: LeetCode - Shortest Distance After Road Addition Queries I
created_at: 2024/11/27 21:00:00

題目連結: https://leetcode.com/problems/shortest-distance-after-road-addition-queries-i
前言
這一題是 2024/11/27 的 Daily 題目,而為什麼會忽然寫這一題呢? 不是因為它的難度,而是因為今天剛好想到了一個不錯的做法,所以很想寫下來記錄一下。
這個做法應該是受到了 Union Find 、 Bellman-Ford 與 Dijkstra 的啟發(?),總之是有那麼一點點感覺
題目簡介
- 有向無環圖
- 每個節點預設都和下一個數字相連
- 給你一個
N代表有N個節點 - 給你一個
queries陣列,裡面是[u, v]代表要把u連到v - 求出每個
queries連接後的最短路徑(從頭走到尾,意思是0到N-1) - 題目不會有回頭路,也就是說
u一定比v小- 題外話: 一開始我不小心把題目想複雜了,老實說這次我沒有細看題目(
因為今天整天有點不太舒服(可能沒睡好QQ)),所以我第一個想的edge case是有沒有一種可能是他交叉著連結果更短,後來敲進test case才發現他不會有這種情況;不過接下來的解法可以涵蓋這種情況。
- 題外話: 一開始我不小心把題目想複雜了,老實說這次我沒有細看題目(
我想到的解法是這樣的:
- 用一個
disatnces存在每個節點到0的最短距離 - 用一個
effects存放某個節點變化時,應該更新誰? - 於是當
u連到v的時候,如果有更好,我們就把v的距離更新成u的距離+1,並且更新effects,並往前更新disatnces。 ((這樣講比較順,雖然寫起來不是這樣,總之我們後面會細說
雖然說題目不會有回頭路,但為了進一步驗證這個解法,所以特別用有回頭路的 test case 來說明。
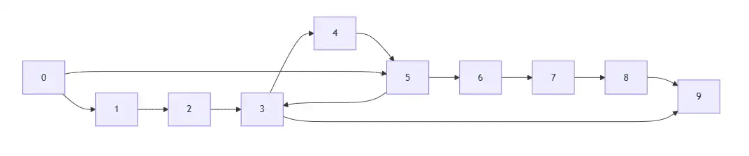
文字描述可能有點抽象,我們來看看圖,假設今天 N = 10
你的初始狀態是這樣的:
0 -> 1 -> 2 -> 3 -> 4 -> 5 -> 6 -> 7 -> 8 -> 9
這時你的 distances 是這樣的:
[0, 1, 2, 3, 4, 5, 6, 7, 8, 9]
然後你的 effects 是這樣的:
[
[1], // 0
[2], // 1
[3], // 2
[4], // 3
[5], // 4
[6], // 5
[7], // 6
[8], // 7
[9], // 8
[] // 9
]
這代表當 1 有變化時,我們要更新 2,當 2 有變化時,我們要更新 3,以此類推。
接著假設有組資料長這樣:

這邊是多了以下幾個資料:
[[3,9],[5,3],[0,5]]
以結果論來看,最短路徑是 0 -> 5 -> 3 -> 9,也就是 3。
那我們來看看這個 test case 的過程:
- 當
3連到9的時候,我們先更新effects,當3有變化時,我們要更新9,所以:[ [1], // 0 [2], // 1 [3], // 2 [4, 9], // 3 [5], // 4 [6], // 5 [7], // 6 [8], // 7 [9], // 8 [] // 9 ]
接著需要去更新 distances,所以開始執行類似 Union Find 的操作:
索引 : [0, 1, 2, 3, 4, 5, 6, 7, 8, 9]
更新前: [0, 1, 2, 3, 4, 5, 6, 7 ,8, 9]
更新 4: [0, 1, 2, 3, 4, 5, 6, 7 ,8, 9] (略過,4沒有更優)
更新 9: [0, 1, 2, 3, 4, 5, 6, 7 ,8, 4] (更新)
接著我們再來看 5 連到 3 的時候:
[
[1], // 0
[2], // 1
[3], // 2
[4, 9], // 3
[5], // 4
[6, 3], // 5
[7], // 6
[8], // 7
[9], // 8
[] // 9
]
接著一樣更新 distances:
索引 : [0, 1, 2, 3, 4, 5, 6, 7, 8, 9]
更新前: [0, 1, 2, 3, 4, 5, 6, 7 ,8, 4]
更新 6: [0, 1, 2, 3, 4, 5, 6, 7 ,8, 4] (略過,6沒有更優)
更新 3: [0, 1, 2, 3, 4, 5, 6, 7 ,8, 4] (略過,3也沒有更優)
最後,我們再來看 0 連到 5 的時候:
[
[1, 5], // 0
[2], // 1
[3], // 2
[4, 9], // 3
[5], // 4
[6, 3], // 5
[7], // 6
[8], // 7
[9], // 8
[] // 9
]
接著一樣更新 distances:
索引 : [0, 1, 2, 3, 4, 5, 6, 7, 8, 9]
更新前: [0, 1, 2, 3, 4, 5, 6, 7 ,8, 4]
更新 1: [0, 1, 2, 3, 4, 5, 6, 7 ,8, 4] (略過,1沒有更優)
更新 5: [0, 1, 2, 3, 4, 1, 6, 7 ,8, 4] (更新)
索引 : [0, 1, 2, 3, 4, 5, 6, 7, 8, 9]
更新 6: [0, 1, 2, 3, 4, 1, 2, 7 ,8, 4] (更新)
索引 : [0, 1, 2, 3, 4, 5, 6, 7, 8, 9]
更新 7: [0, 1, 2, 3, 4, 1, 2, 3 ,8, 4] (更新)
索引 : [0, 1, 2, 3, 4, 5, 6, 7, 8, 9]
更新 8: [0, 1, 2, 3, 4, 1, 2, 3 ,4, 4] (更新)
索引 : [0, 1, 2, 3, 4, 5, 6, 7, 8, 9]
更新 9: [0, 1, 2, 3, 4, 1, 2, 3 ,4, 4] (略過,9沒有更優)
索引 : [0, 1, 2, 3, 4, 5, 6, 7, 8, 9]
更新 3: [0, 1, 2, 2, 4, 1, 2, 3 ,4, 4] (更新)
索引 : [0, 1, 2, 3, 4, 5, 6, 7, 8, 9]
更新 4: [0, 1, 2, 2, 3, 1, 2, 3 ,4, 4] (更新)
索引 : [0, 1, 2, 3, 4, 5, 6, 7, 8, 9]
更新 9: [0, 1, 2, 2, 3, 1, 2, 3 ,4, 3] (更新)
這次的更新比較複雜,因為若有更優的話,我們就要一直往前更新,直到沒有更優為止,這樣才能保證整個 distances 是最優解。
如果有算法底子的這時可能就看出這樣的解法是 DFS,但其實這邊用 BFS 的話也可以做到一樣的結果,不過效率會有一些些差異,以這題的這個解法來說的話用 DFS 的話不只效率比較穩定,而且 Code 也比較好看(?),但不管怎麼樣,這裡你用 DFS 還是 BFS 時間複雜度都是一樣的(以最壞情況來說,不過 DFS 可能不會)。
所以選擇 DFS 和 BFS 還是必須稍微評估一下,雖然大多數題目都是 BFS 比較快,但這題用 BFS 可能會導致前面都在做無謂的更新(queue越長越大),如果用 DFS 就可以避免這種情況。
JavaScript 實作
一樣分段來解釋,首先定義 distances 與 effects,然後不要忘了最後要輸出的 output
const distances = Array.from({length: n}, (_, i) => i)
const effects = Array.from({length: n}, (_, i) => [i + 1])
const output = []
effects[n - 1] = []
接著我們需要開始讀取題目的 queries,這邊我們用 for 來讀取:
for (const [from, to] of queries) {
effects[from].push(to)
update(distances, effects, from)
output.push(distances[n - 1])
}
最後我們需要實作 update,這邊我們用 DFS 來實作:
const update = (distances, effects, from) => {
effects[from].forEach(node => {
if (distances[node] > distances[from] + 1) {
distances[node] = distances[from] + 1
update(distances, effects, node)
}
})
}
這邊比較重要的是那個 if,這邊我們要判斷是否有更優解,如果有的話,我們就要一直往前更新,這樣不只能保證 distances 是最優解,也才不會拉垮整個時間複雜度。
最後我們就可以輸出 output 了:
return output
整個 Code 就這樣子,非常的精簡。
如果你要更精簡的話也許可以讓 update 直接使用 global 的 disatnces 和 effects
註: 使用遞迴的方式需要注意遞迴深度的問題,避免超過 Call Stack 的限制,不過這題資料不大,所以不用擔心這個問題;或者是你也可以單純使用 while + stack 來實作遞迴來避免這個問題。
最後附上 LeetCode 的截圖
然後他寫的時間複雜度是 O(N) 但其實這題最最最差的情況是 O(N^2)
(真的很差那種,要像下面這樣)
5
[[3,4],[2,3],[1,2],[0,1],[2,4],[1,3],[0,2],[1,4],[0,3],[0,4]]
漸漸的更新每一個,這樣 1 + 2 + 3 + 4 + ... + N,所以最差是 O(N^2)
不過這題的 N 最大是 500,所以這樣肯定超級快XD